此文为第三届“玻璃成分设计与调整&熔制与成型工序过程控制培训会”上会刊文稿和会议报告文稿,会议已于2023/3/16-3/18在郑州举办。
摘 要:低铁硫酸钡在晶白、高白、普白、色料瓶罐玻璃及器皿玻璃中的应用逐渐为玻璃企业所认知和使用,它在改善熔化、澄清和提高玻璃亮度、光泽度及降低成本等方面可以获得较好的效果。本文就硫酸钡的物理化学性质、配方调试与注意事项及工艺过程控制中的认识误区做些探讨。
关键词:硫酸钡 配方调试 认识误区
-
1. 性质与作用
-
1.1硫酸钡物化性质
硫酸钡(BaSO4)俗称重晶石、天然硫酸钡,斜方晶系,晶体多呈板状、短柱状,一般呈致密块状、板状、柱状;晶体无色透明,一般呈白色、灰白、灰色、浅黄、淡红、浅蓝、棕褐色等,高白、晶玻玻璃中多使用白色硫酸钡,低端玻璃制品多使用其它带颜色的硫酸钡。
硫酸钡具有玻璃光泽,条痕白色,常与石英、白云石、方解石、萤石等共生。在碳酸盐类矿物原料如白云石、石灰石中也不同程度地伴生有硫酸钙、硫酸钡及硫酸锶等硫酸盐。溶于热浓硫酸,几乎不用溶于水、乙醇和酸,密度4.50g/cm3,熔点1580℃。
玻璃配方中引入BaO的同类原料还有碳酸钡(BaCO3)、氢氧化钡(Ba(OH)2)、硝酸钡(Ba(NO3)2)等;硫酸盐同类原料还有元明粉(Na2SO4)、硫酸钾(K2SO4)、硫酸钙(CaSO4)、硫酸锌(ZnSO4)、硫酸锶(SrSO4)等。
1.2可以提高熔化率
当BaO以硫酸钡(BaSO4)方式引入量达到0.25%~0.50%时,可提高配合料熔化速率10.00%~15.00%,进而实现提高熔化率的目的。在普通Na2O-CaO-SiO2玻璃中,当以硫酸钡方式引入BaO分别置换SiO2、Na2O和CaO时,对配合料熔化时间的影响如下(Figure1)。
从图中可以看出:
-
当BaO引入量≤0.5置换SiO2、Na2O和CaO时,配合料熔化速度的提升是最明显的,在0.50%时达到极值,三种成分的置换都呈现相似的规律。
-
在含量0.50%~1.50%范围内置换SiO2、Na2O和CaO成分置换中,对熔化速度影响大小的顺序是SiO2>Na2O>CaO。
-
当BaO>1.5%置换CaO时,熔化速度会加快,置换SiO2时也会加快,但不及置换CaO效果显著。
-
当BaO>0.5置换Na2O时,熔化速度会变慢。
以上探讨是鉴于特定玻璃成分而获得的数据信息,生产中的实用Na2O-CaO-SiO2玻璃成分更为复杂,其变化规律和影响结果可能会有所差异。
1.3可以提高澄清效率
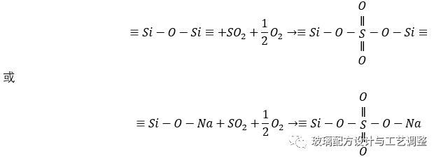
硫酸钡分解产生氧(O2)和二氧化硫(SO2),对气泡的长大与溶解有着重要的作用,SO2的溶解度与熔体含碱量、气相中的氧分压和熔体温度有关,随着氧化钠(Na2O)含量的增加,SO2的溶解度明显增加。
在普通Na2O-CaO-SiO2玻璃中,熔体吸收SO2形成硫酸盐的极大值温度接近1200℃,吸收SO2的温度范围约在900℃~1200℃,>1200℃因热分解作用,硫酸盐含量降低,>1300℃时,硫酸盐热分解结束。
单纯的O2和SO2气体溶解速度慢,但二者同时存在时它们则化合生成SO3后进入玻璃网络,容易溶解。
纯碱配合料中引入硫酸钡,离子交换反应后生成新碱金属硫酸盐(R2SO4)产生较好的澄清效果,温度越高澄清效果越好,在1400℃~1500℃时,能充分显示出它的澄清作用。某些玻璃工厂在正常使用硫酸钡的情况下突然直接停用导致大量“麻泡”事故;某些工厂在原本有少量气泡的情况下使用硫酸钡后出现了气泡减少或消失的现象。
1.4可以改善物化性能
以硫酸钡引入的BaO可以增加玻璃折射率、密度,提高玻璃表面光泽度和化学稳定性。
-
2. 配方调试步骤
-
2.1拟定目标
硫酸钡具有改善配合料熔化、熔体高温澄清和玻璃物理化学性能的作用,在选用原料前,首先要明确使用它的目的,这会对接续成分变化调整量和引入量提供依据。
2.2确定引入量
硫酸钡在配方引入中的作用不同,引入量也有差异,如普通Na2O-CaO-SiO2玻璃中作为改善玻璃光泽度时引入量可在0.80%~2.00%;作为澄清剂使用时,可引入量为0.50%~1.00%;作为助熔剂使用时,引入量为0.50%左右即可。因此,硫酸钡引入量的拟定是需要考量其使用目的的。
2.3调整关联原料
硫酸钡的有效成分为BaSO4,同时还伴生有其它成分,在配方调整时,这些伴生成分需要通过其它原料做相应调整,以确保设计成分的稳定,不建议1:1等量替换其它原料或直接引入使用。
硫酸钡含量如下:
从表2可以看出,元明粉有效成分主要是SO3和Na2O;硫酸钡主要成分是SO3和Ba2O;碳酸钡和氢氧化钡的主要成分是BaO;硝酸钡在引入BaO的同时还会排放氮氧化物。了解不同原料引入成分的种类与含量,有助于配方关联原料或成分的调整。
2.4配方调试技巧
根据窑炉熔化面积、出料量及熔制现状,硫酸钡新引入或置换调整时,分步逐渐进行,以准确观察熔制现状和成型料性的改善情况,必要时辅之以关联调整,以实现在平稳过渡过程中有效改善当前困扰。
-
1. 工艺管控认识误区
-
3.1误区1:认为泡沫层会变厚
泡沫层变厚不是硫酸钡的特有现象,而是硫酸盐类玻璃原料的共性,如使用元明粉、硫酸钙等原料时也会遇到完全相同的困扰。
泡沫层变厚的影响因素比较复杂,如出料量增加、炉温偏低、碎玻璃比例减少或碎玻璃种类变化、原料颗粒较粗、配合料水分较高、加料料层太厚等都会导致泡沫层变厚。总而言之,凡是影响熔化速度的要素的都会导致泡沫层变厚。
当遇到泡沫层变厚时,可通过配方主要成分、辅助原料配比与用量调整及熔制参数调整得以缓解。如在引入硫酸钡时需把其它硫酸盐引入的三氧化硫(SO3)量等量下调。
3.2误区2:认为易产生二次气泡
熔体二次气泡的产生有物理方面和化学方面的原因,物理原因多是源于温度制度不合理所致,如降温后的玻璃液再次升温超过一定温度限时会析出非常细小、均匀分布的二次气泡;化学原因与玻璃成分设计和原料选用有关,对于硫酸盐类原料而言,如元明粉、硫酸钡等,由于玻璃液中的SO3溶解量约为0.3%~0.35%,玻璃液在冷却和成型过程中易受还原焰或还原性夹杂物作用引起二次气泡。
以上讲述的硫酸盐与氧化钡产生二次气泡的倾向是客观存在的,它是硫酸盐类和钡类原料的共有属性,不是硫酸钡的专有属性,在实际生产中的产生几率并不高,这与引入量和温度制度管制有密切关系。
产生二次气泡的原因远不止于上述因素,如物理原因中的热作用、机械作用、气体含率、熔制制度、灯工作业、火抛光等;化学原因中溶解度原因、化学反应、电化学反应等都会产生二次气泡。
3.3误区3:碳酸钡能替换硫酸钡
碳酸钡与硫酸钡是两种不同的原料,不能简单粗暴地进行等量置换。曾有玻璃企业用碳酸钡替换硫酸钡导致“麻泡”事故发生而无法追溯原因,给生产带来巨大损失。反之,也不能简单地用硫酸钡替换碳酸钡。两原料的科学替换原则是需要对关联原料做相应调整,方可稳定工艺制程和设计成分并获得较好的置换效果。
3.4误区4:硫酸钡会导致料色变化
硫酸钡对料色的影响源于两个方面:
1) 硫酸盐的影响
任何硫酸盐包括元明粉对硒脱色的影响多认为它在一定程度上具有抑制硒脱色的作用,如果当前本身在使用其它硫酸盐类原料,则可忽略硫酸钡中硫酸根对料色的影响。原则上硫酸钠引入量>0.3%后会对料色产生明显影响,但在晶白和高白料的实际生产中,引入量>0.3之后也未见对料色产生显著影响。
2) 氧化铁的影响
氧化铁(Fe2O3)是无色脱色玻璃中的最为常见的有害杂质,含量高低直接影响脱色效率和效果。以硫酸钡Fe2O3 0.04%为例,若引入1.00%的硫酸钡,则引入Fe2O3为0.0004%。在高白料和要求不是特别高的晶白料中完全或部分使用硫酸钡对玻璃料色的影响完全可以忽略不计。
3.5误区5:硫酸钡严重侵蚀耐火材料
对于高BaO含量玻璃,对窑炉耐火材料的侵蚀是显著的,对于在普通Na2O-CaO-SiO2玻璃中引入较少量硫酸钡以改善助熔、澄清效果时,对熔窑耐火材料的侵蚀是非常有限的。
-
4. 结语
以硫酸钡引入BaO置换不同成分时,对熔化速度的影响的与成分种类和成分置换量有直接关系。
客观、科学看待硫酸钡工艺管控误区,掌握调试基本技巧,即可获得较好的助熔、澄清效果,达成玻璃物化性能与工艺性能改善及成本管控的目的。工艺管控中的认识误区依赖于工艺过程管制现状,不仅仅源于某种原料的使用。
在配方调试过程中,须确保关联成分不产生明显的波动,在明确使用目的前提下方可准确拟定引入量,进而才能对关联成分做相应调整。




